• 후원하기
  • 인쇄
  • 전송
  • 보관
  • 기사목록
  • 오탈자제보

"정신장애 인구 폭염 초과입원 위험, 비장애 대비 최대 4.6배"

부산대 이환희 교수팀, 정신장애 인구 폭염 위험도 및 의료비 연구…저명 국제학술지 '란셋 사이키아트리' 게재

  •  

cnbnews 양혜신기자 |  2024.04.16 14:15:36

부산대 이환희 교수. (사진=부산대 제공)

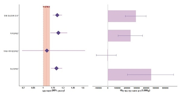
무더위로 인한 정신장애 인구의 초과입원 위험이 비장애 인구에 비해 최대 4.6배 높은 것으로 나타나 장애인을 위한 기후변화 대응책 논의가 필요한 것으로 조사됐다.

부산대학교가 정보의생명공학대학 의생명융합공학부 이환희 교수팀이 전 세계적으로 진행되고 있는 지구 온난화와 관련해 지난 2006년부터 2021년까지 최근 16년간 45만여 건의 자료를 바탕으로 여름철 폭염에 노출된 지적장애인, 자폐스펙트럼장애인, 정신장애인의 응급실을 경유한 입원 위험이 비장애 인구에 비해 4배 이상 높다는 연구 결과를 정신 보건 분야의 저명 국제학술지인 ‘Lancet Psychiatry(란셋 사이키아트리)’ 영국시간 4월 15일자에 발표했다고 16일 밝혔다.

최근 심각해지고 있는 지구 온난화와 기후 위기에 전 세계적인 대응이 촉구되고 있으며 여름철 무더위는 조기 사망을 비롯해 건강 악화로 인한 병원 방문 위험을 높이는 것으로 알려져 있다.

특히 저소득층이나 노인 등이 이러한 건강 영향에 더욱 취약함을 보여 왔는데 장애인에 대한 위험은 알려진 바가 거의 없었다. 연구팀은 이러한 제한점에 주목해 지적장애, 자폐스펙트럼장애, 정신장애 인구의 폭염 노출에 따른 응급실을 경유한 입원 위험을 분석했다.

장애인은 사회 및 교육 참여, 근로 활동의 어려움을 비롯해 높은 만성 질환 유병률, 정보 접근의 한계 등을 이유로 폭염 노출에 취약할 것으로 추측되나 장애인에게서의 폭염 영향을 다룬 연구가 전 세계적으로 부족한 실정이라는 점에서 연구의 필요성이 제기돼 왔다. 특히 연구팀은 정신장애 인구가 기본적으로 생체 메커니즘이 취약하고 리터러시(문해력)가 더 떨어져 장애인 중에서도 폭염 영향이 클 것으로 판단해 본격적인 연구에 들어갔다.

이를 위해 부산대 연구팀은 지적장애인, 자폐스펙트럼장애인, 정신장애인에게서 여름철 폭염에 노출됐을 때 응급실을 경유한 입원의 위험이 얼마나 되는지 국내 처음으로 조사했다.

연구 결과 비장애 인구의 위험이 1.05배 증가한 데 반해 지적장애인 1.23배, 자폐스펙트럼장애인 1.06배, 정신장애인 1.20배가 증가해 비장애 인구에 비해 정신장애 인구는 초과입원 위험이 최대 4.6배의 증가폭을 보였다.

 

이환희 교수팀 연구 이미지. (자료=부산대 제공)

이들 중에서도 비도시 지역에 거주하는 이들, 소득 수준이 낮은 이들(보험료 분위 기준 의료급여 및 1-3분위)의 위험이 특히 두드러졌다. 입원 원인으로는 비뇨·생식기계 질환으로 인한 입원 위험이 크게 증가하는 것으로 나타났다.

이로 인한 의료비 증가 역시 상당했다. 연구팀은 지적장애인, 자폐스펙트럼장애인, 정신장애인 10만 명당 연간 2억 9246만 원(최소 1억 8172만 원, 최대 3억 9750만 원)의 의료비가 폭염으로 인해 추가로 지출되고 있다고 분석했다.

이번 연구는 부산대 특성화사업단 및 한국환경연구원 지원을 받아 서울대 보건대학원 박진아 박사과정생이 제1저자, 이환희 교수가 교신저자로 수행했다. 연구팀은 서울대 보건대학원 김호 교수 연구팀과 미국 예일대학교 미셸 벨(Michelle L Bell) 교수 연구팀과의 국민건강보험 청구 자료를 활용한 공동 연구를 진행했다.

무더위 상황에서 지적장애인, 자폐스펙트럼장애인, 정신장애인이 비장애인에 비해 4배 이상 위험하다는 이번 분석은 향후 국가 단위의 기후 위기 대응책 수립 시 장애 인구 집단에 대한 고려가 필요함을 의미한다. 국내외적으로 더 포괄적인 기후 위기 대응 가이드라인 수립을 위한 양적 근거가 돼 줄 것으로 기대된다.

해당 연구결과는 정신 보건 분야의 저명 국제학술지인 ‘The Lancet Psychiatry(란셋 정신의학)’ 게재와 더불어 연구의 우수성을 인정받아 Lancet Podcast 인터뷰를 진행했고 논문의 주제 및 결과와 관련한 코멘터리(Commentary article)도 함께 실렸다.

또한 연구팀은 한국 건강보험공단 표본코호트 100만 명의 자료를 활용해 정신장애뿐만 아니라 신체장애 등 전체 장애 인구를 대상으로 한 연구를 수행해 2024년 4월 환경 보건 분야 저명 국제학술지인 ‘The Lancet Planetary Health(란셋 플래니터리 핼스)’에 연구 성과를 게재했으며 해당 연구는 저널 커버 페이지로 선정되기도 했다.

이환희 부산대 교수는 “장애 인구는 이제까지 한국뿐 아니라 세계적으로도 기후 변화 취약성에 대한 정량적인 평가가 부족했던 집단”이라며 “이번 연구를 바탕으로 데이터 기반 장애인 기후 변화 대응 정책이 활발히 논의됐으면 하는 바람”이라고 전했다.

배너
배너
배너
배너
배너
배너
배너
배너
배너
배너

 
배너
배너
배너
배너
배너
배너
배너
배너
배너
배너
배너
배너
배너
배너
배너
배너
배너
배너
배너
배너
배너
배너
배너
배너
배너
배너
배너
배너
배너
배너
배너
배너
배너
배너
배너
배너
배너
배너
배너
배너
배너